
Scammers are nothing if not inventive. As writers become wise to their techniques, they invent new ones.
Here are two newish frauds that appear to be on the rise. As with most writing scams these days, they target self-published authors.
The Book Order Scam
I’ve written before about book order scams, in the context of scammers impersonating bookstores such as Barnes & Noble with out-of-the-blue emails promising bulk purchases and big royalties. All the author has to do is pony up thousands of dollars or pounds to cover printing and/or shipping costs (the relevant note here: bookstores do not print the books they sell, and they typically order from the publisher or publishing platform, rather than from the author).
This newer version of the book order scam is somewhat different, arriving not from a bookstore impersonator, but from the self-publishing service provider the writer has hired to publish and/or market their book. That provider isn’t a true self-publishing company, though, but rather one of the many ghostwriting scams that waylay would-be indie authors in order to defraud them.
Here’s how it works. As the writer’s book nears publication, or perhaps just after the book has been uploaded to KDP or IngramSpark (publishing scammers often do actually publish clients’ books, the better to soften them up for the sales pressure and fake offers that are the real goal), the writer is presented with a fabulous opportunity: a bulk order from bookstores! Thousands of copies! Huge royalties! Guaranteed to be paid whether the books sell or not!
There’s just one catch: the author has to cover printing costs. Or shipping costs. Or something of that nature. But it’s all good: those royalties are guaranteed, remember? Plus there’s a special, discounted printing price, and the scammer will contribute a sizeable portion of the expense–all ensuring a hefty profit for the author.
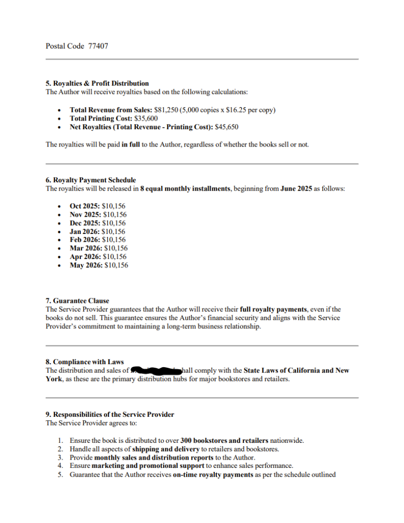
Here’s an example of one such “distribution agreement”. (Click on the images to see them larger; you can also download the entire agreement here.) The purported book order: 5,000 copies, to be placed in 300 physical bookstores and libraries. The purported sales revenue: $81,250. The purported printing fee: $35,600. The author’s “investment”: $17,346. The promised “net royalties”: $45,650. The “profit”: $28,304.
![This Distribution Agreement ("Agreement") is entered into as of the date of execution by and between
[redacted] ("Author"), author of [redacted] , and Authors Book Publishing ("Service
Provider"), a professional book distribution service.
Collectively, the Author and Service Provider shall be referred to as the "Parties."
1. Purpose of Agreement
The purpose of this Agreement is to establish the terms and conditions under which the Service Provider
will distribute the Author’s book, Blood on Cards, as a hardcover edition across the United States in
various retail stores, bookstores, and libraries.
2. Book Details
• Title: [redacted]
• Format: Hardcover
• Number of Copies: 5,000
• Discounted Printing Cost Per Unit: $7.12
• Purchasing Price by Distributors: $16.25
• Total Printing Cost: $35,600
• Investment by Authors Book Publishing: (18,254)
• Investment Required from the Author: (17,346)
3. Distribution Terms
The Service Provider will distribute [redacted] nationwide, ensuring placement in over 300
bookstores across the United States. The primary locations include:
• Retail Chains: Walmart, Target
• Bookstore Chains: Barnes & Noble, Books-A-Million
• Local Independent Bookstores
• Public Libraries
• Locations Near ReligiousInstitutions and Churches
4. Payment Terms
The Author agrees to make a one-time payment of $17,346 to cover the printing costs. This payment
ensures that the books are printed and distributed in accordance with this Agreement.
Payment Details:
Name of Bank: Chase Bank
Account Title: NEXTZEN MINDS LLC
Routing Number: 111000614
Account number: 613328510
Bank Address: 9203 S Texas 6 Ste 140, Houston, TX 77083
Swift Code: CHASUS33
Routing Num 021000021
Business Adress 20107 Moonlight Falls CT
City Richmond
State Texas](https://writerbeware.blog/wp-content/uploads/2025/05/Book-order-scam-2-2-787x1024.png)
![Postal Code 77407
5. Royalties & Profit Distribution
The Author will receive royalties based on the following calculations:
• Total Revenue from Sales: $81,250 (5,000 copies x $16.25 per copy)
• Total Printing Cost: $35,600
• Net Royalties (Total Revenue - Printing Cost): $45,650
The royalties will be paid in full to the Author, regardless of whether the books sell or not.
6. Royalty Payment Schedule
The royalties will be released in 8 equal monthly installments, beginning from June 2025 as follows:
• Oct 2025: $10,156
• Nov 2025: $10,156
• Dec 2025: $10,156
• Jan 2026: $10,156
• Feb 2026: $10,156
• Mar 2026: $10,156
• Apr 2026: $10,156
• May 2026: $10,156
7. Guarantee Clause
The Service Provider guarantees that the Author will receive their full royalty payments, even if the
books do not sell. This guarantee ensures the Author’s financial security and aligns with the Service
Provider’s commitment to maintaining a long-term business relationship.
8. Compliance with Laws
The distribution and sales of [redacted] shall comply with the State Laws of California and New
York, as these are the primary distribution hubs for major bookstores and retailers.
9. Responsibilities of the Service Provider
The Service Provider agrees to:
1. Ensure the book is distributed to over 300 bookstores and retailers nationwide.
2. Handle all aspects of shipping and delivery to retailers and bookstores.
3. Provide monthly sales and distribution reports to the Author.
4. Ensure marketing and promotional support to enhance sales performance.
5. Guarantee that the Author receives on-time royalty payments as per the schedule outlined](https://writerbeware.blog/wp-content/uploads/2025/05/Book-order-scam-3-790x1024.png)
![above.
10. Responsibilities of the Author
The Author agrees to:
1. Provide the required one-time payment of $17,346 for printing and distribution.
2. Supply the Service Provider with the finalized manuscript and book cover design for printing.
3. Participate in promotional activities and interviews where applicable.
11. Termination Clause
This Agreement may only be terminated under the following conditions:
• If the Service Provider fails to distribute the book within the agreed timeline.
• If the Service Provider fails to make royalty payments as per the agreed schedule.
• If the Author does not fulfill the agreed payment obligations.
• Any violations of the applicable state laws of California or New York.
12. Confidentiality Clause
Both Parties agree to keep confidential all terms, payments, and agreements disclosed within this contract.
14. Entire Agreement
This Agreement represents the entire understanding between the Parties and supersedes any prior
agreements or discussions. Any amendments must be made in writing and signed by both Parties.
IN WITNESS WHEREOF, the Parties have entered into this Agreement as of the date first written
above.
Author:
[redacted]
(Signature)
Service Provider
Authors Book Publishing
(Signature)](https://writerbeware.blog/wp-content/uploads/2025/05/Book-order-scam-4-784x1024.png)
Authors who aren’t entirely blinded by the promise of nationwide availability and big payouts might notice a few oddities. No stated royalty percentage to explain the “net royalties” calculation, for example. Full details on how the author should pay their share of printing costs (via unreversible wire transfer, naturally–always something to be wary of)–but nothing on how the author will receive their royalties (check? Paypal? Direct deposit?). And wait a minute–the “net royalties” figure doesn’t match the payout schedule. Maybe that’s not bad, though: the payout schedule promises a much larger sum.
Not all scam book order agreements are as elaborate as the one above: they don’t always include the faux cost breakdown, for instance, or the author may be promised a lump sum payment rather than a staggered schedule.
Regardless, it’s all lies. Ghostwriting and other self-publishing/marketing frauds, which operate largely overseas and use platforms like KDP and IngramSpark to publish clients’ books, have no access to the distribution channels that can reliably get books into brick-and-mortar stores. The goal, as so often with writing scams, is to deceive the writer into paying for something that will not and cannot be delivered.
As the promised royalty payments, inevitably, don’t arrive, the scammer strings the author along with promises and excuses–often for months, as the author refuses to give up hope and the scammer works to keep them on the hook. Sometimes, if the scammer senses that the writer is on the verge of bailing or contacting the authorities, they’ll pay out a few thousand dollars to quiet things down, or send a shipment of books, or provide a photoshopped image to make it look like the book really is on store shelves. All of this buys the scammer time to ply the author with even more high-pressure sales pitches for hugely overpriced (or entirely fictional) products like book fair presence, book insurance, international copyright certificates, and more.
For authors who buy into a book order scam, whatever they pay for the non-existent books is often just the start of their losses.
You’ll notice that the name of the service provider in the agreement above (Authors Book Publishing) is different from the name of the payee (Nextzen Minds LLC). The agreement’s document properties window reveals yet another name, The Writers Tree.
![Screenshot of page 1 of a fake distribution agreement, overlaid with Document Propertise window:
File name:
Distribution Agreement for [redacted] (2).pdf
File size:
134 KB (137,379 bytes)
Title:
Book Distribution service agreement
Author:
Jay Brown
Subject:
-
Keywords:
The Writers Tree
Creation Date:
4/22/2025, 5:21:45 PM
Modification Date:
4/22/2025, 5:21:45 PM
Creator:
Microsoft® Word for Microsoft 365
PDF Producer:
Microsoft® Word for Microsoft 365
PDF Version:1.7
Page Count:
4
Page Size:
215.9 × 279.4 mm (Letter, portrait)](https://writerbeware.blog/wp-content/uploads/2025/05/Book-order-scam-5.png)
This is typical of ghostwriting scams, which operate multiple business names under the aegis of one or more parent companies that, like Nextzen Minds, blandly pose as IT or web design services. It’s all designed to obscure origins and operators.
I’m always hesitant to say “never”, because there are so few absolutes in the business of publishing and in its shadow companion, the industry of writing scams. But the realities of digital publishing and distribution, which make it possible for physical stores and libraries to order self-pubbed books on request, also make it highly unlikely that any self-publishing company or platform–whether scam or legit–will have the capacity to distribute paper books in bulk to physical stores and libraries nationwide.
If the service or platform you’re using proposes such a thing–and especially if you’re required to pay upfront–it’s extremely probable that it’s a scam.
Fake Reviews
Fake reviews–sometimes just a few lines, sometimes elaborate essays with stars and number rankings–arrive unasked-for, attached to a complimentary email claiming that a book has been “discovered” by book scouts or book evaluators. Or they’re included as part of a pitch for a package of publishing and marketing services, to show how much the service provider believes in the author’s book.
Undoubtedly produced by feeding book blurbs and other info into chatbots, they are essentially bait: affirmation and flattery designed to induce the author to reply, so they can be subjected to aggressive sales pitches for whatever the “reviewer” is selling.
Here are a couple of examples, both sent out by scammers on this list. They’re not just book reviews–they’re PROFESSIONAL book reviews! So much better than just the regular kind. In each case, the end goal is the charging of some sort of fee. You can see the bait aspect more clearly in the second review, which repeatedly mentions traditional publishing (the scammer purported to be able to get the author a deal with a Big 5 house.) I’ve removed references to authors, titles, and other details that could identify the books.
![Professional Book Review:
Rating: ★★★★ ★ (5/5)
Reviewed by: George Adam
Book Title: "[redacted]"
Author: [redacted]
Book Review:
[redacted] ushers readers into a captivating
fantasy world with a blend of adventure, magic, and whimsical charm. This debut novel offers a refreshing take on classic
fantasy tropes, set in the enigmatic kingdom of [redacted] where tranquility is shattered by the disappearance of
the princess.
The narrative begins with the disappearance of the kingdom’s heir, prompting a series of unsuccessful search parties and
a growing sense of desperation among the royal family. The king and queen, unable to locate their daughter, turn to the
king’s trusted advisor, the venerable wizard [redacted]. According to an ancient prophecy, a hero will emerge to solve this
crisis, though the identity of this hero remains unknown.
Enter the prophesized hero: a blacksmith’s son who becomes misenchanted by a magical set of armor. This intriguing
premise sets the stage for an epic journey that unfolds with both humor and heart. As the misenchanted knight embarks
on his quest, he is joined by an unusual and endearing unicorn who insists on assisting him. The dynamic between the
knight and the unicorn adds a delightful layer to the story, blending whimsy with the gravity of their mission.
[redacted] writing is rich with imagination, drawing readers into a world teeming with magical creatures and enigmatic
challenges. The interactions between the knight and the unicorn are particularly well-crafted, providing both comic relief
and emotional depth. Their journey is filled with inventive encounters and clever twists, keeping readers engaged and
eager to turn the pages.
The novel’s strength lies in its ability to balance traditional fantasy elements with fresh, inventive storytelling. The magical
armor and its impact on the knight’s journey introduce a unique twist on the hero’s quest, while the colorful cast of
characters and the richly described setting enhance the immersive experience.
[redacted] is a promising start to a fantasy series that combines
adventure, magic, and humor in an engaging narrative. [redacted] has crafted a world that is both enchanting and
entertaining, making this book a delightful read for fans of fantasy and adventure alike](https://writerbeware.blog/wp-content/uploads/2025/05/Book-review-scam-1-1.png)
![Professional Book Review: [redacted]
Rating: ★★★★☆ 4.7/5
Why This Book Is a Perfect Candidate for Traditional Publishing:
[redacted] is a beautifully rendered historical fiction novel that blends
intimate character development with rich period detail. Its literary quality, emotional depth, and
evocative sense of time and place make it an excellent fit for traditional publishing. The book
possesses a timeless narrative arc and delivers the kind of emotionally engaging, historically grounded
storytelling that appeals to both niche and mainstream readers.
Strengths:
Authentic Historical Setting: The novel immerses the reader in 1886 Cape Cod with vivid descriptions,
capturing the nuances of daily life, marriage customs, and gender expectations of the era.
Compelling Protagonist: Eva Paine is a memorable, well-drawn character whose emotional
resilience, vulnerability, and growth are deeply relatable.
Emotional Complexity: The dynamics between [redacted] are portrayed with
subtlety and raw honesty, offering a realistic depiction of love, sacrifice, and societal pressure.
Strong Narrative Voice: The prose is thoughtful and deliberate, reflecting the inner world of a woman
straddling tradition and modernity.
Overview Connecting Strengths to Story Arc:
The strength of [redacted] lies in its deeply human portrayal of a woman navigating love,
autonomy, and identity in a world defined by rigid gender roles. [redacted] journey from idealistic bride to
self-aware homemaker provides a powerful emotional anchor for the novel. The historical context is
not merely a backdrop but an active force shaping the characters’ choices, with the sea, motherhood,
and the industrial age representing the evolving tides of their lives. These elements collectively build a
multi-layered narrative that resonates beyond the page, drawing readers into the private and public
struggles of a woman ahead of her time.
Minor Opportunities for Improvement:
While the novel delivers a strong emotional and historical experience, there are occasional moments
where the pacing lags particularly during repeated domestic routines that might benefit from tighter
editing. A touch more dialogue and variation in scene structure could further energize some chapters
and enrich secondary character development.
Final Insight:
[redacted] is a thoughtfully written, emotionally rich novel that combines
historical authenticity with intimate character storytelling. It stands out for its mature themes, strong
female lead, and cultural relevance, making it not only a satisfying read but a strong contender for
traditional publishing. The book's quiet strength lies in its realism and emotional nuance, qualities that
continue to resonate long after the final page.
Final Rating: ★★★★☆ 4.7/5 – A compelling, emotionally grounded historical novel and a perfect candidate for traditional publication.](https://writerbeware.blog/wp-content/uploads/2025/05/Book-review-scam-2.png)
Here’s another, sent by a scammer impersonating a freelance editor named Alexis Stratton (the real Alexis has confirmed this for me). Notice, despite the insertion of specific details, how generic it is.
![On Nov 7, 2024, at 7:53 AM, Alexis Stratton <thebesteditoralexis@gmail.com> wrote:
Dear [redacted]
I recently had the pleasure of reading [redacted], and I must say, this book captivated me in ways I didn’t expect. It’s a heartfelt and compelling narrative that seamlessly weaves together themes of love, joy, and sorrow, giving readers an experience that feels both personal and universal. The title says it all—it’s a journey of emotional highs and lows, and your writing allows the reader to feel every wave of it.
A Deep Exploration of Love
What truly struck me about [redacted] is how you explore the complexities of love. It’s not just the typical "romantic love" one might expect, but a much more profound and nuanced portrayal. Your characters experience love in different forms—romantic, familial, platonic—and each variation is treated with the depth and sincerity it deserves.
You don’t shy away from showing that love can be a storm: unpredictable, overwhelming, and sometimes painful. But it’s also the force that makes life meaningful, that propels us through challenges and losses. The way you write about the characters' vulnerabilities and their personal growth through relationships is incredibly touching. It reminds readers that love isn't always easy, but it’s worth the effort, even when it brings tears.
Humor Amidst the Tears
One of the most refreshing elements of your book is how you balance the more somber, emotional moments with humor and lightheartedness. The laughter is a crucial part of the narrative, offering both relief and a contrast to the deeper, heavier themes. I found myself chuckling in places I wasn’t expecting, and this balance kept the story from becoming overly heavy or too melancholic.
You have a knack for infusing wit and charm into your characters and dialogue, which gives the book a refreshing dynamism. Even in moments of sorrow, there’s often a laugh to be had, which feels incredibly real—because life is like that. It’s never all sadness or all joy; there’s always a mix of emotions, and you capture that so well.
Characters with Heart and Realness
The heart of this book lies in its characters. They are complex, multifaceted individuals who feel so real and relatable. You’ve done an exceptional job of crafting people who are easy to root for—yet flawed, dealing with their own personal storms. The way you delve into their fears, dreams, and relationships made me feel like I was right alongside them, sharing in their experiences.
The relationships between the characters—especially the romantic dynamics—are written with an emotional depth that feels earned. You manage to take readers through the journey of these relationships, from the giddiness of first love to the painful realizations that come with heartbreak. There are moments of vulnerability and self-discovery that resonate deeply, and I found myself reflecting on my own experiences with love and loss as I read.
A Story of Resilience and Healing
What struck me most about [redacted] is the theme of healing. Through all the laughter and tears, there’s a sense of resilience that permeates the story. Your characters face hardships—whether they’re personal losses, broken relationships, or struggles with identity—and they work through them with strength, though it’s often a difficult process. There’s a genuine sense of hope woven into the narrative, a reminder that even in the darkest of times, we have the capacity to heal and grow.
Your portrayal of human vulnerability—how we struggle, how we fall, and how we rise again—is both moving and inspiring. It’s an uplifting story that reminds us that no storm, no matter how fierce, lasts forever.
An Emotional Rollercoaster
In the end, [redacted] is an emotional rollercoaster, and I mean that in the best possible way. It’s a story that doesn’t shy away from the painful aspects of life, but it also celebrates the joy and beauty that can be found within those experiences. Your writing is full of heart, and you’ve created a story that will resonate with anyone who has loved deeply, laughed freely, and cried openly.
Thank you for sharing such a personal and poignant story. [redacted] is a beautifully crafted reminder that love, in all its forms, is a force to be reckoned with—full of highs and lows, but always worth the ride.
Warm regards,
Alexis Stratton](https://writerbeware.blog/wp-content/uploads/2025/05/Book-review-scam-3-810x1024.png)
I’ve gotten multiple reports of “Alexis’s” email reviews; they’re not all as elaborate as this one, but they all have the same purpose: to elicit a response, at which point “Alexis” proposes to sell the author various services, such as writing query letters, creating “publishing assessments”, and the like. One author paid $4,500 for website creation and other items, only to receive…nothing.
We shouldn’t have to always be so suspicious of unexpected outreach. But that’s where we are these days. That gushing out-of-the-blue review or fan letter may be exactly the day-brightening surprise it appears to be…but there’s also a non-zero possibility that it’s a prelude to a scam.
So be on your guard.

This is such a great article! I’ve recently been scammed out of almost $20k. I’ve filed police reports, went back to my bank (Chase) and getting ready to get legal representation. I’m not sure if it’s OK to mention the publishing company & distribution company who supposedly ordered the books, but I’d like to mention both in an effort to assist someone else from being scammed. Please let me know and thank you again for this article.
I’m so sorry this happened to you! I’m happy for you to name names, but if you’re not comfortable with that, please email me in confidence: beware@sfwa.org.
I found your website while researching author and publishing scams. As an indie author, I get a ton of scam emails. The most recent is impersonating a best-selling author who supposedly wants to connect and share ideas. I wrote back and congratulated them on their publishing success. They asked me about my marketing strategies, and I offered to send them a contract and estimate for marketing consulting services at a discounted rate of $350 per hour. Strangely, the author wasn’t interested, stating that they already have a publicist. I guess it helps that I am skeptical and have very little advertising budget. I hate hearing about other authors getting scammed.
I appreciate your articles and postings. I’ve been around a while, and most of these outfits are the same old scams from the times long before there was a popular internet. They have a broader net to cast for fish now.
The three most basic rules of old still apply:
If it looks too good to be true, it is…It’s a con/scam.
If you’ve received a notice that you have won some lucrative prize or deal you’ve never heard of, it’s a scam/con.
If they are asking for money up front to provide any further verification information… It is absolutely a scam.
In the times of the ‘Net” (yes, it works on your phone too), use the find page source or view source code in your browser, (right click function on your phone, right click in your orhter devices anywhere in the browser window and the find souce thing will show up, click it). It will reveal the domain and multiple IPs the page or email is sent from. Use the Whois utilities to trace the message or page to its source. If everything is marked as private or inaccessible, it is a scam. There will still be some information that is an instant alarm; it is a scam. Multiple reroutes, the initial IP or domain name is not a match to the one listed in your browser address bar or email message… It is likely a scam, con, or phishing attempt.
Hope this helps.
Jeepers Creepers. I received an email from Juliet Collins this afternoon with such well-worded praise, I was *almost* sure it was legit. Thankfully, I’m risk averse and spent the time to Google her. One thing about this particular scam taught me something positive: My updated Amazon blurb is on point! Ha! Mind you, this is the third edition (insert really long story as to why) of my debut trilogy that first came out in 2022. Learning how to utilize keywords and tightening up your book summary really works!
I am trying to get background on another woman, Kay Clarkson of Diverse Content Solutions. Has anyone heard of her out of Colorado?
I’m not familiar with this company, but looking at its website, the claim that it “collaborates with top literary agencies” marks it as a scam: there is no evidence whatsoever that this claim is true.
I am wondering if anyone knows of a woman named Juliet Collins who offers PR/Marketing/Advertising. I received a very flattering letter re my body of work. The characters were named, themes mentioned resonating with my intentions.
Of course first step is to check her out, but I can find nothing. There are a lot of Juliet Collins. Even tried searching with her email; we are corresponding via email.
My gut is screaming “nyet.”
Curious to know if anyone out there has come across her.
Hi, Leigh,
I checked my records and didn’t find any reports or complaints about a Juliet Collins, but solicitation is always a warning sign, and chatbots have made it extremely easy for scammers to create literate, relevant solicitation emails. My guess is that this is a scam.
I’d like to see the email–please forward it to me. beware@sfwa.org
I have just today had a very similar flattering email from Juliet Collins. If she hasn’t actually read the particular novel of mine she’s referencing, she has at least studied the blurb! Her Facebook account is no longer there and her X account has no posts on it! I’m forwarding you the email.
Thank you!
Just putting this out there for fellow authors — there’s been a wave of outreach emails coming from names like Epic Studio Group and FilmDistrictMedia.com, offering to turn books into films. On the surface, the emails seem polished and exciting. They name-drop major platforms, talk about production plans, and say your story has great potential.
But the way they operate feels very familiar. It’s eerily similar to how Innocentrix worked — long, flattering conversations that slowly shift into requests for money. First, they’ll tell you they need a screenplay. Then a cinematic trailer. Then something else. By the time authors realize it’s going nowhere, they’ve spent thousands.
This is what’s often referred to as a pig butchering scam. It’s all about building trust slowly and bleeding people financially over time. The scam doesn’t start with pressure — it starts with praise. It makes you feel chosen. It makes you want to believe. And that’s where it gets dangerous.
If you’ve been contacted by either of these companies, take a step back and look at the bigger picture. Ask questions. Do your research. Don’t feel rushed to say yes to anything — and don’t pay for services without knowing exactly what you’re getting.
Writers have been burned by this kind of setup before. Just be careful. Your story deserves to be handled with honesty and care.
I just wanted to check in and ask if you’ve come across anything related to someone named Emilio Ferrari reaching out from Screen Media Films using the email eferrari@screenmediafilms.us. The message mentions a film adaptation opportunity and references a partnership with Netflix, along with a number of recognizable film titles and platforms like Crackle, Redbox, and Amazon.
The website linked is screenmediafilms.us, which feels a little off from what I know of the official company, but I figured I’d ask just in case there’s something I’m missing.
Have you seen anything about this? Would appreciate any insight.
I haven’t seen anything with this exact name, email, or company name. However, dangling the possibility of a screen adaptation by a major production company is a very typical scam offer, and something that’s reported to me all the time. This isn’t how film rights to books are acquired, anyway–not via cold-call solicitation.
One way to out a scam is to check domain registration, and see if the registration date matches up with information on the website. The Screen Media Films web domain was only registered on April 23 of this year. Hard to see how it could have had anything to do with the films on its website, all of which were made months or years earlier.
That happened to me recently, and I’m certain that the publishing company was in on the scam that was sent to me supposedly by Barnes and Noble. Thankfully, I emailed Barnes and Noble a d was told that it was a Scam! For my next book, I will not publish it through Mermaid Book Publishers. It is very sad when your own publishing companies tries to scam you and steal your money.
We received a copy of a fake contract from BooksAMillion last week. The author’s “publisher” forwarded it to the author. He contacted us and did NOT fall for the scam.
NEW SCAM! “Pay us $26K and we’ll stock 3,500 copies of your book in 150 stores!”
https://writersweekly.com/angela-desk/new-scam-pay-us-26k-and-well-stock-3500-copies-of-your-book-in-150-stores
I’ve seen similar “contracts” or emails impersonating Powell’s, Barnes & Noble, the Strand Bookstore, and more. All claiming the store will print the books, which of course bookstores don’t do. Such a racket!
If I receive a fake review, what’s to stop me copying it and posting it on my website?
Sometimes I’m glad to be a poor writer (not in a garret, though). I keep my royalties separate from my ‘normal’ account and only use that account for payment to do with my writing, like buying books for review, or giveaways. Consequently, I don’t have anything like the kind of money these people are asking.
It’s very funny that that particular con believes mentioning “libraries” carries bait weight.
Libraries are dead and becoming “deader” every day due the information access “revolution.” They are closing everywhere.
Similar to how ineffective broadcast radio has become.
What I mean is that if I had my work physically distributed to libraries, it would almost never be seen. It would be a waste. It borders on mismanagement were it true.
But the giant red flag is the asking price to be all in.
That is a true come to Jesus snorting up my milk through my nose absolute laughable absurdity.
I literally, cannot afford to be conned at that price point.
Where is the alleged almighty Interpol and FBI who threaten me everytime I watch a movie on “old fashioned” Blu Ray discs against my making a copy of the film?
Can’t they target some of these bad actors?
Well, of course not, I answer to myself.
Perhaps if these criminals were to anger Mossad we’d seem some remorse and action. 😉
Always entertaining, Mizz Vic! 😀
Thank you.
Libraries are actually a significant source of sales for traditionally-published books, especially from larger publishers. Libraries are definitely under attack these days–but far from dead.
By now I find it absolutely impossible to feel safe with any kind of offer, I receive from alleged publishers or so-called agents. This situation is infuriating, and it’s not enough just to “look out” for scammers, as they are getting more and more devious.
“… a bulk order from bookstores! Thousands of copies! Huge royalties! Guaranteed to be paid whether the books sell or not!”
Heh! Golly, I would take that deal just as soon as they pay up-front.
“The purported sales revenue: $81,250. The purported printing fee: $35,600. The author’s ‘investment:’ $17,346. The promised ‘net royalties:’ $45,650. The ‘profit:’ $28,304.”
Great! Just take the “investment” out of the royalties and send to me a check for $28,304 and they gotta deal. I presume some writers do not wonder why this is obvious, otherwise the scam would not exist. I suppose ego gets in the way of logic.
Watch out for this scam. You get an e-mail saying you are being offered a large sum of money for the film rights of your book! All you need do is send in your Film Pitch Deck to be submitted to the HOB production committee. If you don’t have a Film Pitch Deck, they will help you. Once HOB accepts the book, you will be asked to send your entertainment attorney to a meeting in New York. Don’t have an entertainment attorney? They’ll send you some recommendations. The attorney will want a retainer and a percentage of the sale price.
Thanks for distributing this!